链式求导法则
链式求导法则
最新推荐文章于 2024-09-06 20:01:54 发布

ws_6868 于 2019-01-26 13:13:54 发布
版权声明:本文为博主原创文章,遵循 CC 4.0 BY-SA 版权协议,转载请附上原文出处链接和本声明。
本文只总结了多元复合函数的链式求导法则(一元的更简单就不写了)
直接结合一个例子结合复合结构图来说这个问题
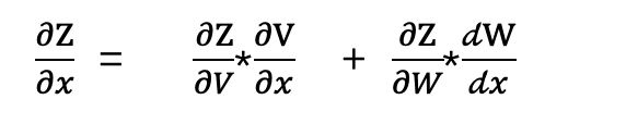
Z = F(U,V,W)
U = U(y)
V = V(x,y)
W = W(x)
下面是它的复合结构图

有了复合结构图就很容易看出 Z 由 U、V、W 决定,U由y决定,V由x, y决定,W由x决定。
例如求Z对x的偏导 
有句经典的话就是 求导就是走路,有几条路等号后就有几项(本例中Z到x有两条路Z->V->x, Z->W->x所以
后就有两项)

每条路上有几段,每一项中就有几项乘积。(例如第一条路有两段,所以第一项就有两段乘积。)

然后就写出

这里需要注意的是 因为W只有x这一个自变量,所以这里写成
相关知识
用对数求导法则求下列函数的导数: y=(1+x2)tanx.
求泰勒公式arctanx=?? 爱问知识人
猫咪舒服法则:7条法则,让猫咪生活更幸福的指南
bbbb88
安全类的两个法则:海恩法则与墨菲定律
攻击性幼犬改掉恶习四法则
狂犬饲养法则
666ln
宠物店的生存法则,与其焦虑不如主动出击
守护爱犬健康:揭秘提升狗狗免疫力的五大黄金法则
网址: 链式求导法则 https://m.mcbbbk.com/newsview339624.html