首页 > 分享 > 人工智能作业三

人工智能作业三

人工智能作业三

贝叶斯网络

根据图所给出的贝叶斯网络,其中:P(A)=0.5,P(B|A)=1, P(B|~A)=0.5, P(C|A)=1, P(C|A)=0.5,P(D|BC)=1,P(D|B,C)=0.5,P(D|B,C)=0.5,P(D|B,~C)=0。试计算下列概率P(A|D)。

极大后验概率

某学校,所有的男生都穿裤子,而女生当中,一半穿裤子,一半穿裙子。男女比例70%的可能性是4:6,有20%可能性是1:1,有10%可能性是6:4,问一个穿裤子的人是男生的概率有多大?

一个穿裤子的人是男生的概率为0.608。
【说明】这一题有别的同学计算结果是0.611,但是我还不能确定哪一种是对的。
2020.01.04更新:哪一个都不对,正确答案是0.4

决策树

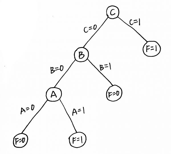
设样本集合如下表格,其中A、B、C是F的属性,请根据信息增益标准(ID3算法),画出F的决策树。其中

l o g 2 ( 2 3 ) = − 0.5842 , l o g 2 ( 1 3 ) = − 1.5850 , l o g 2 ( 3 4 ) = − 0.41501 log_2(frac{2}{3})=-0.5842, log_2(frac{1}{3})=-1.5850,log_2(frac{3}{4})=-0.41501 log2​(32​)=−0.5842,log2​(31​)=−1.5850,log2​(43​)=−0.41501

ABCF0000001101000111100110111100

决策树如下:

或者:

人工神经网络

阈值感知器可以用来执行很多逻辑函数,说明它对二进制逻辑函数与(AND)的实现过程。

逻辑函数与有两个输入,分别为 x 1 x_1 x1​和 x 2 x_2 x2​,则阈值感知器为 ∑ i = 1 n w i x i − θ = 0 sum_{i=1}^{n} {w_ix_i-theta}=0 ∑i=1n​wi​xi​−θ=0,即 w 1 x 1 + w 2 x 2 − θ = 0 w_1x_1+w_2x_2-theta=0 w1​x1​+w2​x2​−θ=0。训练数据为:

x 1 x_1 x1​ x 2 x_2 x2​ Y Y Y000010100111

学习过程就是调整权值来减小训练数据的实际输出与感知器算法的理论输出之间的差异。

初始化

设定初始的权值 w 1 w_1 w1​, w 2 w_2 w2​和阈值 θ theta θ为 [ − 0.5 , 0.5 ] [-0.5,0.5] [−0.5,0.5]之间的随机数

计算激活函数值

根据输出 x 1 ( p ) , x 2 ( p ) x_1(p),x_2(p) x1​(p),x2​(p)和权值 w 1 , w 2 w_1,w_2 w1​,w2​计算输出 Y ( p ) Y(p) Y(p),其中 p p p表示迭代的轮数

Y ( p ) = s t e p [ x 1 ( p ) w 1 + x 2 ( p ) w 2 ] − θ Y(p)=step[x_1(p)w_1+x_2(p)w_2]-theta Y(p)=step[x1​(p)w1​+x2​(p)w2​]−θ

S r e p f u n c t i o n : Srepfunction: Srepfunction:
Y s t e p = { 1 , if  x > = 0 0 , if  x < 0 Y^{step} = {1,if x>=00,if x<0 Ystep={1,0,​if x>=0if x<0​

更新权值

e ( p ) = Y d ( p ) − Y ( p ) e(p)=Y_d(p)-Y(p) e(p)=Yd​(p)−Y(p),式中三项分别为:在轮数p的错误大小;理论输出;实际输出

Δ w i ( p ) = α ∗ x i ( p ) ∗ e ( p ) Δw_i(p)=alpha*x_i(p)*e(p) Δwi​(p)=α∗xi​(p)∗e(p), α alpha α为学习率

w i ( p + 1 ) = w i ( p ) + Δ w i ( p ) w_i(p+1)=w_i(p)+Δw_i(p) wi​(p+1)=wi​(p)+Δwi​(p)

迭代循环

增加p值,不断重复步骤二和步骤三直到收敛

相关知识

东华大学人工智能作业六
2023年最新《人工智能训练师》解析,人工智能训练师又该如何报考
HTML5期末大作业:宠物网站设计——布偶猫(7页)带留言板 HTML+CSS+JavaScript web结课作业的源码 web网页设计实例作业 html大学生网站开发实践作业
怎么训练学生认真完成作业?
起重吊装作业“十必须”、“十不准”事故防范措施
人工智能助力体育和艺术教育融合发展
人工智能时代测绘遥感技术的发展机遇与挑战
我要写作业好玩吗 我要写作业玩法简介
需要伦理的人工智能应用——读 于江生著《人工智能伦理》
作业治疗(OT)

网址: 人工智能作业三 https://m.mcbbbk.com/newsview541354.html

所属分类:萌宠日常
上一篇: 宠物医院污水处理设备规格
下一篇: 未能加载文件或程序集“Micro