1.
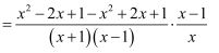
下面是某同学进行分式化简的过程,请认真阅读并完成相应任务:

……………………第一步
……………………第二步
……………………第三步
……………………第四步
……………………第五步
……………………第六步
(1)
填空:
①以上化简步骤中第一步将原式中的
这一项变形为
属于;(填“整式乘法”或“因式分解”)
②以上化简步骤中,第步是进行分式的通分,其依据是;
③第步开始出现错误,出现错误的具体原因是;
(2)
请直接写出该分式化简后的正确结果.
答案解析 收藏 纠错 + 选题
2.
将 克糖放入水中,得到 克糖水,此时糖水的含糖量我们可以记为
.
(1)
再往杯中加入 克糖,生活中的经验告诉我们糖水变甜了,用数学关系式可以表示为______;
A .
B .
C .
(2)
请证明你的选择.
答案解析 收藏 纠错 + 选题
3.
已知分式
.
(1)
化简这个分式;
(2)
若当a取正整数时,求得分式A的值也是正整数,试求a的值.
答案解析 收藏 纠错 + 选题
相关知识
将0、1、2、3、4、5、6这七个数字分别填入下面的横线里,使算式成立.
XII+1X=XI,罗马数字等式,也是只要移动一根火柴,火柴算式
下图为生态系统能量流动示意图,下列等式中不可能成立的是A.B2=A(10%~20%)B.A=F+B1+C1+D1+E1C.A-(B1+B3)=C1+C2+C3D
在等式:十二分之一=几分之几
有趣的火柴题:移动一根火柴,让等式10+8=8能够成立
数列{an}的前n项和为Sn,a1=1,an+1=2Sn(n∈N? 爱问知识人
11+11+11+11=224移动两根火柴使等式成立 爱问知识人
怎样只移动一根火柴棍,使等式成立:1.17+11+4
【用配方法解下列方程,其中应在方程左右两边同时加上4的是()A.x2
反向思维题,43-16=29?移动两根火柴使等式成立
原文链接: 观察下列等式: =1﹣ , ; ,……, 将以上二个等式两边分别相加得: ++ + =1﹣ + ﹣ + ﹣ = 用你发现的规律解答下列问题: https://m.mcbbbk.com/newsview966259.html
| 上一篇: 初探Java设计模式3:行为型模... | 下一篇: 光华公司总经理认为,对管理人员评... |